| 1) Is the government of this country going to harm our economic interests? | |
| 1 NO | 2) Continue trade and diplomatic relations. |
| 1 YES | 3) Is this government an American ally? |
| 3 YES | 4) Use trade and diplomatic pressure to protect American interests. |
| 3 NO | 5) Is this government a Russian ally? |
| 5 YES | 6) Denounce the government while getting as much economic benefit from it as you can. |
| 5 NO | 7) Stop sending aid to the country, discourage others from trading with the country and sever political ties with it. |
| 8) Does the country turn to Russia to make up for lost American aid and trade? | |
| 8 NO | 9) Increase pressure on allies to stop trading with the government, isolating it from the west. |
| 8 YES | 10) Denounce the government as Communist and have the CIA quietly create and arm an indigenous force to oppose the government. |
| 11) Has the press found out about the connection between the native revolutionary forces and the CIA? | |
| 11 YES | 12) Plausibly deny all American involvement while praising the revolutionaries as "freedom fighters" and "heroes." |
| 11 NO | 13) Can the CIA-backed revolutionaries overthrow the government? |
| 13 YES | 14) Normalize trade and diplomatic relations with the new government when it takes power, offering massive foreign aid to help "stabilize" it. |
| 13 NO | 15) Increase American aid to the revolutionaries and, if necessary, increase the American military presence in the country. |
| 16) Will Congress support the revolutionaries? | |
| 16 YES | 17) Send aid to the revolutionaries overtly. |
| 16 NO | 18) Send aid to the revolutionaries covertly. |
| 19) Has the press connected the CIA to the revolutionaries yet? | |
| 19 YES | 20) Attack the American press. |
| 19 NO | 21) Attack the foreign country's press. |
| 22) Are other countries in the area trying to negotiate peace? | |
| 22 YES | 23) Denounce them for interfering in the democratic fight for freedom and ignore their efforts. |
| 22 NO | 24) Can the revolutionaries overthrow the government with increased American financial and military support? |
| 24 NO | 25) Is the American public willing to fight a war it cannot win? |
| 25 YES | 26) Continue fighting. |
| 25 NO | 27) Continue fighting as long as your administration can afford to politically; then, end American involvement, claiming victory no matter how implausible the claim may seem. |
| 24 YES | 28) Normalize trade and diplomatic relations with the new government when it takes power, offering massive foreign aid to help "stabilize" it. |
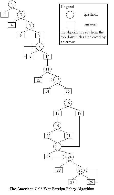
The American Cold War Foreign Policy Algorithm (ACWFPA) was created soon after World War II and adapted to this form in the mid-1970s. It has been sued effectively as a means of explaining foreign policy to new government officials, particularly Presidents, who were more familiar with the government's rhetoric than its actual behaviour. As well, the ACWFPA can be a useful guide in determining how far an American action abroad has progressed.
A few things should be made clear about the ACWFPA. In the first place, it was not created with a moral dimension. Should the government be fomenting insurrection against foreign governments, many of which have been democratically elected? Further, should the government engage in such activities in order to protect private economic interests? The ACWFPA, concerned with the pragmatic questions of government behaviour, was not designed to address these concerns.
In the second place, application of the ACWFPA has been known to change with circumstances. Soon after WW II, it was used to initiate actions in many countries, but seldom to its fullest logical extent. Now, with so few countries uncommitted to one side of the Cold War or the other, the ACWFPA is applied in fewer cases, but more fully.
In the third place, certain safeguards were built into the system (checks on Congress, for example, or the press). However, in times of low public approval for foreign intervention (usually on moral grounds, with which, as we have seen, the ACWFPA is wholly unprepared to deal), it is suggested that damage control measures be considered throughout.
Finally, determining when to implement the ACWFPA is a matter of judgment combined with political expediency. In theory, it can be applied to any country. It has, for example, already been used in Cuba, Guatemala, Nicaragua and Vietnam, among other places. Even American allies should become familiar with it, if only for their own protection...